摘(zhai)要 20世(shi)紀70年代磁(ci)共振(zhen)成(cheng)像(xiang)(xiang)技(ji)術(shu)的(de)發(fa)明為生(sheng)物醫學成(cheng)像(xiang)(xiang)開(kai)辟了一(yi)個極富生(sheng)命力的(de)領域。隨著技(ji)術(shu)的(de)進步和生(sheng)命科學研究的(de)深入,磁(ci)共振(zhen)成(cheng)像(xiang)(xiang)技(ji)術(shu)正向超高場發(fa)展(zhan)。文章將在介紹(shao)磁(ci)共振(zhen)成(cheng)像(xiang)(xiang)技(ji)術(shu)發(fa)展(zhan)的(de)歷(li)史后(hou),結合作者的(de)認(ren)識(shi),簡要(yao)介紹(shao)超高磁(ci)共振(zhen)成(cheng)像(xiang)(xiang)技(ji)術(shu)的(de)發(fa)展(zhan)現狀和關(guan)鍵技(ji)術(shu)方面的(de)進展(zhan)。
關鍵詞 磁(ci)共振(zhen)成像,超(chao)高(gao)場(chang),超(chao)導磁(ci)體,梯度(du)
自(zi)古以(yi)來(lai),人(ren)(ren)類出(chu)于(yu)對自(zi)身(shen)的(de)(de)(de)(de)(de)認(ren)識(shi),受疾病的(de)(de)(de)(de)(de)困擾等(deng)原因,總是(shi)力圖(tu)探究人(ren)(ren)體自(zi)身(shen)的(de)(de)(de)(de)(de)結構和內(nei)(nei)在的(de)(de)(de)(de)(de)信息(xi)。由于(yu)條件的(de)(de)(de)(de)(de)限(xian)制,那時只(zhi)能通過(guo)外部(bu)手段試圖(tu)間接地獲(huo)取(qu)人(ren)(ren)體內(nei)(nei)部(bu)的(de)(de)(de)(de)(de)信息(xi),因而創(chuang)造出(chu)傳統醫學中的(de)(de)(de)(de)(de)種種手段,比如中醫的(de)(de)(de)(de)(de)望、聞(wen)、問、切等(deng)方法(fa)。現代(dai)科技(ji)的(de)(de)(de)(de)(de)發展,使得人(ren)(ren)們可(ke)以(yi)通過(guo)一些物理的(de)(de)(de)(de)(de)方法(fa)獲(huo)取(qu)人(ren)(ren)體內(nei)(nei)部(bu)的(de)(de)(de)(de)(de)圖(tu)像(xiang),從而能夠更精確地診斷疾病,更深入地認(ren)識(shi)人(ren)(ren)體自(zi)身(shen)。比如常用的(de)(de)(de)(de)(de)X光、CT、超(chao)聲、磁共振等(deng)成像(xiang)方法(fa),不僅(jin)可(ke)以(yi)獲(huo)得人(ren)(ren)體的(de)(de)(de)(de)(de)內(nei)(nei)部(bu)構造圖(tu)像(xiang),還可(ke)以(yi)獲(huo)取(qu)生命(ming)活動過(guo)程的(de)(de)(de)(de)(de)影(ying)像(xiang)。
1895 年(nian)(nian)德國(guo)(guo)(guo)物理(li)(li)學(xue)(xue)家威(wei)廉(lian)·倫琴發現X 射線(xian),開(kai)創了(le)醫(yi)學(xue)(xue)影像(xiang)的(de)(de)(de)(de)(de)(de)(de)先河(he)。1978 年(nian)(nian),一(yi)位名叫G. N. Hounsfield 的(de)(de)(de)(de)(de)(de)(de)工(gong)程師公布了(le)計算機斷層(ceng)攝影的(de)(de)(de)(de)(de)(de)(de)結(jie)果。這(zhe)是繼X射線(xian)發現后,放(fang)射醫(yi)學(xue)(xue)領域里最重要的(de)(de)(de)(de)(de)(de)(de)突破(po),也(ye)是20 世(shi)紀科學(xue)(xue)技(ji)術(shu)的(de)(de)(de)(de)(de)(de)(de)重大(da)成(cheng)就之一(yi)。Hounsfield 與Cormack 由于(yu)在放(fang)射醫(yi)學(xue)(xue)中(zhong)的(de)(de)(de)(de)(de)(de)(de)劃時代(dai)(dai)貢獻而獲得了(le)1979 年(nian)(nian)諾(nuo)(nuo)貝爾生理(li)(li)與醫(yi)學(xue)(xue)獎。超聲(sheng)成(cheng)像(xiang)設備(bei)的(de)(de)(de)(de)(de)(de)(de)發展得益(yi)于(yu)在“二(er)戰”中(zhong)雷達與聲(sheng)納技(ji)術(shu)的(de)(de)(de)(de)(de)(de)(de)發展。20 世(shi)紀50 年(nian)(nian)代(dai)(dai),簡單的(de)(de)(de)(de)(de)(de)(de)A型(xing)超聲(sheng)診斷儀(yi)開(kai)始(shi)用于(yu)臨(lin)床。到(dao)了(le)70 年(nian)(nian)代(dai)(dai),能提供斷面動態的(de)(de)(de)(de)(de)(de)(de)B型(xing)儀(yi)器問世(shi)。80 年(nian)(nian)代(dai)(dai)初問世(shi)的(de)(de)(de)(de)(de)(de)(de)超聲(sheng)彩色血流圖是目前(qian)臨(lin)床上使用的(de)(de)(de)(de)(de)(de)(de)高(gao)檔超聲(sheng)診斷儀(yi)。1945 年(nian)(nian)美(mei)國(guo)(guo)(guo)學(xue)(xue)者發現了(le)核磁(ci)共振(zhen)現象。70 年(nian)(nian)代(dai)(dai)后期(qi)人體(ti)磁(ci)共振(zhen)成(cheng)像(xiang)獲得成(cheng)功。2003 年(nian)(nian),諾(nuo)(nuo)貝爾生理(li)(li)或醫(yi)學(xue)(xue)獎授予了(le)對磁(ci)共振(zhen)成(cheng)像(xiang)研究作出杰出貢獻的(de)(de)(de)(de)(de)(de)(de)美(mei)國(guo)(guo)(guo)科學(xue)(xue)家Paul C. Lauterbur 和(he)英國(guo)(guo)(guo)科學(xue)(xue)家Peter Mansfied。
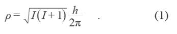
磁共振成像(magnetic resonance imaging,簡稱MRI)通過檢測(ce)人體(ti)發射出的(de)微弱電磁波(bo),計算(suan)出人體(ti)內部結構(gou),其設備通常具有如(ru)圖1 所示的(de)外(wai)觀。

圖1 目前常用(yong)的兩類醫用(yong)磁共振(zhen)成像裝置
磁(ci)共振(zhen)(zhen)成像(xiang)的(de)(de)(de)基(ji)本原(yuan)理來自于1946 年美(mei)國學(xue)者Bloch 和Purcell 的(de)(de)(de)發現(xian)。在外磁(ci)場(chang)的(de)(de)(de)作(zuo)用下,利用人(ren)體自身(shen)發出的(de)(de)(de)磁(ci)共振(zhen)(zhen)信號,獲得人(ren)體內部(bu)的(de)(de)(de)磁(ci)共振(zhen)(zhen)斷層圖像(xiang)。
自然界中的任何物質都是由分子或原子組成的,如水分子H—O—H,是由2 個氫原子與1個氧原子組成。氫原子核中只有1 個質子,有著沿自身軸旋轉的固有本性,質子距原子核中心有一定距離。因此質子自旋就相當于正電荷在環形線圈中流動,在其周圍會形成一個小磁場。從經典物理上看,所有含奇數質子的原子核均在其自旋過程中產生自旋磁動量,也稱核磁矩,它具有方向性和力的效應。核磁矩的大小是原子核的固有特性,它決定磁共振信號的敏感性。氫的原子核最簡單,只有單一的質子,故具有最強的磁矩,最易受外來磁場的影響,并且氫質子在人體內分布最廣,含量最高,因此傳統的磁共振成像絕大多數都選用1H為(wei)靶(ba)原子(zi)核(he)。人體(ti)內的每一個(ge)(ge)氫(qing)質子(zi)可(ke)被視作為(wei)一個(ge)(ge)小磁體(ti)(圖2)。

圖2 氫(qing)原子(zi)核的自旋(xuan)產生(sheng)磁場
從微觀量(liang)子(zi)力學上看(kan),原(yuan)子(zi)核(he)的自(zi)旋是微觀粒子(zi)繞著軸高速旋轉(如地球自(zi)轉),其自(zi)旋的原(yuan)因是存(cun)在自(zi)旋角(jiao)動(dong)量(liang)(固有角(jiao)動(dong)量(liang)和軌道角(jiao)動(dong)量(liang)的矢量(liang)和),自(zi)旋情(qing)況(kuang)由核(he)的自(zi)旋量(liang)子(zi)數I 來表征:

I=0,ρ=0,沒有自旋(xuan),不能產生自旋(xuan)角動量,不會產生共振信號。只(zhi)有當(dang)I >0 時,才產生共振信號。
當I≠0 時原子(zi)核(he)具有自旋(xuan)角動(dong)量,同(tong)時電子(zi)繞(rao)著原子(zi)核(he)運動(dong),等(deng)效于環電流,因此(ci)原子(zi)核(he)周圍出現磁(ci)場,原子(zi)核(he)等(deng)效為磁(ci)棒。設原子(zi)核(he)的磁(ci)矩(ju)為μN,其(qi)方(fang)向(xiang)(xiang)垂直于環電流方(fang)向(xiang)(xiang),與自旋(xuan)角動(dong)量重(zhong)合,其(qi)大小(xiao)為:

其中,γN是核的旋磁比,與原子核運動無關,h為普朗克常量。
無外磁場時,自旋核的取向是任意的,其產生的磁場也是任意的,宏觀上物質沒有磁性;當處于外磁場時,自旋核的角動量受到外磁場力矩作用而成一定規律排列。在直角坐標系中,取z軸方向與磁場B0同向。那么,原子核的自旋角動量在z 軸上的投影Pz的計算公式如下:

其中m為原子核的磁量子數,共有2I 1 個可取的值,對應于核自旋在空間的2I 1個可取向。
外(wai)磁(ci)場(chang)除了影響自旋(xuan)角動(dong)量外(wai),還影響核磁(ci)矩(ju)μ。核磁(ci)矩(ju)在z 軸(zhou)上的投(tou)影計算公式如(ru)下:

其中m為原子核的磁量子數。此外,磁場對磁矩的作用會使磁矩具有一定的附加能量。核磁矩的附加能量計算公式如下:

從(cong)上面幾(ji)個公式可知(zhi),核磁(ci)矩在磁(ci)場中的(de)能(neng)量也是(shi)量子化的(de),稱(cheng)為(wei)能(neng)級。m為(wei)正的(de)能(neng)級稱(cheng)為(wei)低能(neng)級;m為(wei)負的(de)能(neng)級稱(cheng)為(wei)高能(neng)級。相鄰能(neng)級之間的(de)能(neng)量差(cha)是(shi)一個常數:

其大小與外磁場強度B0有關。
無外磁場時的一個(ge)能(neng)量級(ji),在磁場作(zuo)用下分(fen)裂成了2I 1 個(ge)能(neng)量級(ji),稱(cheng)為塞曼能(neng)級(ji),這(zhe)種分(fen)裂稱(cheng)為塞曼分(fen)裂。磁共振頻(pin)率和(he)原子核(he)本身特性和(he)外磁場強度(du)有關。
磁共振現象(xiang)(xiang)從微觀量(liang)(liang)子(zi)(zi)力學解釋,是(shi)指在一(yi)定條件下塞曼能(neng)(neng)級(ji)之(zhi)間(jian)的(de)共振吸收躍(yue)遷現象(xiang)(xiang),當處(chu)于(yu)(yu)(yu)外磁場作用下的(de)自(zi)旋核(he)接受拉莫(mo)頻(pin)率電磁波輻射,自(zi)旋核(he)吸收的(de)能(neng)(neng)量(liang)(liang)恰好(hao)等(deng)于(yu)(yu)(yu)兩個能(neng)(neng)級(ji)能(neng)(neng)量(liang)(liang)差時(shi),處(chu)于(yu)(yu)(yu)低能(neng)(neng)級(ji)的(de)自(zi)旋核(he)會(hui)(hui)躍(yue)遷到高(gao)能(neng)(neng)級(ji)處(chu),就稱(cheng)這(zhe)(zhe)個現象(xiang)(xiang)為核(he)磁共振現象(xiang)(xiang)。躍(yue)遷到高(gao)能(neng)(neng)級(ji)的(de)原子(zi)(zi)核(he),會(hui)(hui)同時(shi)向低能(neng)(neng)級(ji)弛豫,這(zhe)(zhe)一(yi)過程對外釋放能(neng)(neng)量(liang)(liang),這(zhe)(zhe)些能(neng)(neng)量(liang)(liang)信號能(neng)(neng)夠被外部(bu)裝(zhuang)置(zhi)接收,磁共振成(cheng)像所采(cai)集(ji)的(de)信號就是(shi)這(zhe)(zhe)種信號,因此,從本(ben)質上講,磁共振成(cheng)像采(cai)集(ji)的(de)是(shi)成(cheng)像體自(zi)身發(fa)出(chu)的(de)電磁信號,相比(bi)其他電磁成(cheng)像的(de)物理(li)原理(li),這(zhe)(zhe)是(shi)一(yi)個具有顯(xian)著特色的(de)物理(li)方(fang)法。
在靜磁場中,自旋核發生塞曼能級分裂,處在高能級和低能級的原子核數基本相等。在外部射頻場的照射作用下,自旋核可以發生能級躍遷,對于每一個自旋核來說,由下而上和由上而下的躍遷概率相同,但由于低能級上的核數較多,總的來說仍出現凈吸收現象。人體內包含大量的氫質子,在沒有外磁場作用時,這些小磁體磁矩的方向是雜亂無章的,若此時將人體置于一個強大磁場中,這些小磁體的磁矩必須按磁場磁力線的方向重新排列。此時的磁矩有兩種取向:大部分順磁力線排列,它們的位能低,狀態穩;小部分逆磁力線排列,其位能高。兩者的差稱為剩余自旋,由剩余自旋產生的磁化矢量稱為凈磁化矢量,亦稱為平衡態宏觀磁場化矢量M0。在絕對溫度不變的情況下,兩種方向質子的比例取決于外加磁場強度,磁場越高M0越(yue)大,圖像的信(xin)噪比越(yue)高(gao)。
在(zai)MR的坐(zuo)標系中,主(zhu)磁(ci)(ci)場方(fang)(fang)向(xiang)一般稱(cheng)為(wei)(wei)Z軸或(huo)稱(cheng)縱軸,垂直于主(zhu)磁(ci)(ci)場方(fang)(fang)向(xiang)的平(ping)面(mian)為(wei)(wei)XY平(ping)面(mian)或(huo)稱(cheng)水(shui)平(ping)面(mian),平(ping)衡(heng)態宏觀磁(ci)(ci)化矢量為(wei)(wei)M,每(mei)個(ge)氫質(zhi)子除了自旋以外(wai),其(qi)自旋軸還將繞著(zhu)外(wai)磁(ci)(ci)場的方(fang)(fang)向(xiang)(Z軸)旋轉,稱(cheng)其(qi)為(wei)(wei)進動,其(qi)旋轉頻(pin)率稱(cheng)為(wei)(wei)拉(la)莫爾(Larmor)頻(pin)率γ,B為(wei)(wei)主(zhu)磁(ci)(ci)場強(qiang)度(du)。

自從核(he)磁(ci)(ci)共(gong)振(zhen)現象被(bei)發(fa)現后,隨著電子技術特別是計算機(ji)技術的發(fa)展,磁(ci)(ci)共(gong)振(zhen)成(cheng)(cheng)像方(fang)法被(bei)提出。從1978 年到(dao)1982 年,一些(xie)有實力(li)(li)、有遠見的醫療器(qi)械公(gong)(gong)司注(zhu)意到(dao)了(le)MRI的巨大(da)潛力(li)(li),相(xiang)繼開始了(le)MRI的商品(pin)(pin)化工作,他們投(tou)入了(le)大(da)量(liang)的資金(jin),從各個大(da)學網羅了(le)一批專家,競(jing)相(xiang)試制。20世紀80 年代初有幾家公(gong)(gong)司的MRI樣機(ji)試制成(cheng)(cheng)功,并(bing)開始了(le)臨(lin)床(chuang)試用(yong)。1983—1984 年美國(guo)儀器(qi)與藥(yao)物(wu)管理局(FDA)批準了(le)4 家公(gong)(gong)司生產的MRI 機(ji)器(qi)上市,這(zhe)標(biao)志著核(he)磁(ci)(ci)共(gong)振(zhen)成(cheng)(cheng)像技術的基(ji)本成(cheng)(cheng)熟和MRI商品(pin)(pin)階段的開始。1989 年國(guo)產0.15 T臨(lin)床(chuang)磁(ci)(ci)共(gong)振(zhen)成(cheng)(cheng)像設(she)備由中(zhong)國(guo)科(ke)(ke)學院(yuan)電工研究(jiu)所、聲學研究(jiu)所等聯合科(ke)(ke)健公(gong)(gong)司開發(fa)成(cheng)(cheng)功。
談到磁(ci)共振成像的發展,不得不從Bloch 和Purcell 說(shuo)起(qi)。珀塞爾(Purcell)1912 年8 月30 日出生于(yu)(yu)美(mei)國(guo)依利諾(nuo)斯州(zhou)的泰(tai)勒威里(Taylorville),1929 年進入普渡大(da)(da)學(xue)(xue),1933 年從電(dian)機工程系畢業,后來興趣轉向(xiang)物理。1938 年珀塞爾在哈(ha)佛大(da)(da)學(xue)(xue)取得博士學(xue)(xue)位(wei)。1940 年,他到麻省理工學(xue)(xue)院輻射實驗(yan)室工作,探索新頻帶和發展新微波技術。在靜磁(ci)場中核磁(ci)矩(ju)的能(neng)量(liang)處(chu)于(yu)(yu)量(liang)子化能(neng)級(ji)(ji)(ji)(ji),即能(neng)量(liang)決定(ding)于(yu)(yu)核回旋(xuan)比和磁(ci)量(liang)子數(shu)。在熱平(ping)衡狀(zhuang)態下(xia),粒(li)子按玻爾茲曼定(ding)律(lv)分布(bu),低(di)能(neng)級(ji)(ji)(ji)(ji)的粒(li)子數(shu)目(mu)多(duo)于(yu)(yu)高(gao)(gao)能(neng)級(ji)(ji)(ji)(ji)。若粒(li)子在滿足共振條件的射頻電(dian)磁(ci)場作用(yong)下(xia),則處(chu)于(yu)(yu)低(di)能(neng)級(ji)(ji)(ji)(ji)的粒(li)子吸(xi)收射頻場能(neng)量(liang)而(er)躍遷(qian)到高(gao)(gao)能(neng)級(ji)(ji)(ji)(ji);處(chu)于(yu)(yu)高(gao)(gao)能(neng)級(ji)(ji)(ji)(ji)的粒(li)子又可把能(neng)量(liang)交給(gei)晶格而(er)回到低(di)能(neng)級(ji)(ji)(ji)(ji)來。如(ru)果樣(yang)品的弛豫時間不太長(chang),足以建立新的平(ping)衡,保持(chi)低(di)能(neng)級(ji)(ji)(ji)(ji)粒(li)子數(shu)多(duo)于(yu)(yu)高(gao)(gao)能(neng)級(ji)(ji)(ji)(ji)的,便可觀察到持(chi)續的核磁(ci)共振信號(hao)。珀塞爾把這樣(yang)的實驗(yan)稱為“核磁(ci)共振吸(xi)收”。
1945 年12 月24 日(ri),帕塞爾、托(tuo)雷和龐德聯名寫給《物理評(ping)論》編輯部題為(wei)(wei)“固體中(zhong)核磁(ci)(ci)矩共(gong)振(zhen)吸收”的(de)一(yi)封信(xin)中(zhong),首(shou)次(ci)報告了在凝(ning)聚態物質中(zhong)觀(guan)察到(dao)的(de)核磁(ci)(ci)共(gong)振(zhen)現(xian)象。被觀(guan)測(ce)的(de)物質是(shi)置于強度為(wei)(wei)0.71 T磁(ci)(ci)場中(zhong)的(de)大約500 g 石蠟,線圈調諧到(dao)30 MHz,對磁(ci)(ci)場的(de)掃描功率保(bao)持在10—11 W,在29.8 MHz 處記錄到(dao)線寬為(wei)(wei)40000 Hz 的(de)核磁(ci)(ci)共(gong)振(zhen)吸收譜(pu)線。
布洛赫(Bloch)1905 年10 月23 日出生于瑞士的蘇黎世,進入蘇黎世的聯邦工業大學,后來到德國萊比錫大學繼續研究,并于1928 年獲得博士學位。1934 年到斯坦福大學任教。布洛赫通過射頻接收的一般方法來檢測核磁矩的重新取向,他確信在1 cm3的(de)(de)水(shui)中,質(zhi)子在(zai)幾千高斯的(de)(de)磁(ci)(ci)場(chang)中共振時,將會在(zai)圍繞(rao)的(de)(de)線(xian)圈(quan)上感(gan)(gan)應出超過接(jie)收(shou)(shou)(shou)機噪聲(sheng)的(de)(de)射(she)(she)(she)(she)(she)頻(pin)(pin)電(dian)壓(ya),信噪比(bi)不小于3。1945 年(nian)秋,在(zai)一(yi)個(ge)(ge)磁(ci)(ci)鐵兩(liang)(liang)極之(zhi)間,有兩(liang)(liang)個(ge)(ge)軸(zhou)線(xian)相(xiang)(xiang)互(hu)垂(chui)直的(de)(de)線(xian)圈(quan),一(yi)個(ge)(ge)是發(fa)射(she)(she)(she)(she)(she)線(xian)圈(quan),另一(yi)個(ge)(ge)是接(jie)收(shou)(shou)(shou)線(xian)圈(quan),兩(liang)(liang)線(xian)圈(quan)的(de)(de)軸(zhou)線(xian)均與(yu)主磁(ci)(ci)場(chang)垂(chui)直。布(bu)洛赫認為(wei)(wei),核(he)磁(ci)(ci)共振的(de)(de)基本事(shi)實在(zai)于核(he)磁(ci)(ci)矩取(qu)向(xiang)的(de)(de)改(gai)變(bian)。當(dang)核(he)磁(ci)(ci)矩在(zai)射(she)(she)(she)(she)(she)頻(pin)(pin)場(chang)作用下轉向(xiang)時,宏觀磁(ci)(ci)化矢量隨之(zhi)改(gai)變(bian)。按(an)照電(dian)磁(ci)(ci)感(gan)(gan)應定律,這時在(zai)接(jie)收(shou)(shou)(shou)線(xian)圈(quan)上便產生一(yi)感(gan)(gan)應電(dian)動(dong)勢。考慮到(dao)(dao)射(she)(she)(she)(she)(she)頻(pin)(pin)場(chang)比(bi)探(tan)測的(de)(de)信號(hao)強(qiang)得多,所以發(fa)射(she)(she)(she)(she)(she)線(xian)圈(quan)和接(jie)收(shou)(shou)(shou)線(xian)圈(quan)之(zhi)間的(de)(de)耦合(he)必須相(xiang)(xiang)當(dang)微弱,因此把它們安排成互(hu)相(xiang)(xiang)垂(chui)直的(de)(de)位置。在(zai)共振條件下,射(she)(she)(she)(she)(she)頻(pin)(pin)場(chang)使核(he)磁(ci)(ci)矩轉向(xiang),并弱耦合(he)到(dao)(dao)接(jie)收(shou)(shou)(shou)線(xian)圈(quan)作為(wei)(wei)載波。發(fa)射(she)(she)(she)(she)(she)線(xian)圈(quan)的(de)(de)端部還(huan)安裝兩(liang)(liang)塊半圓形導(dao)電(dian)片,以調節(jie)漏感(gan)(gan)的(de)(de)幅(fu)值(zhi)和相(xiang)(xiang)位,從而(er)可檢測到(dao)(dao)吸收(shou)(shou)(shou)信號(hao)或發(fa)射(she)(she)(she)(she)(she)信號(hao)。在(zai)第一(yi)次觀察(cha)到(dao)(dao)核(he)感(gan)(gan)應信號(hao)的(de)(de)成功實驗中,射(she)(she)(she)(she)(she)頻(pin)(pin)頻(pin)(pin)率為(wei)(wei)7.76 MHz,相(xiang)(xiang)應的(de)(de)磁(ci)(ci)場(chang)強(qiang)度為(wei)(wei)0.1826 T。
在(zai)此基礎上,Bloch 和Purcell 開發了(le)測(ce)量固(gu)態(tai)物質核磁共振的儀器。
Raymond Damadian (State University of New York)用他的NMR設備,驗證了同一組織的不同狀態,或者不同組織的T1弛豫時間的差別,這是磁共振成像的生物特性基礎。1973 年Paul Lauterbur(State University of New York,圖3)描述了采用梯度磁場技術進行的磁共振成像,通過反投影方法獲得二維圖像[1]。

圖3 Paul Lauterbur 教授和世界(jie)上(shang)第(di)一(yi)幅(fu)MRI圖像:4.2 mm直徑(jing)的試管中裝滿蒸餾水
1977 年7 月8 日(ri),Peter Mansfield 和Andrew A. Maudsley 獲得(de)了(le)手(shou)指的斷層圖(tu)(tu)(tu)(tu)像,這是世界上(shang)第(di)一(yi)幅人體圖(tu)(tu)(tu)(tu)像(圖(tu)(tu)(tu)(tu)4(a))。Peter Mansfield 還獲得(de)了(le)第(di)一(yi)幅腹部圖(tu)(tu)(tu)(tu)像( 圖(tu)(tu)(tu)(tu)4(b))。1977 年Raymond Damadian完成了(le)首(shou)臺磁共振成像儀的建造。

圖4 (a)世界上第一幅人體磁共振(zhen)圖(Peter Mansfield)。他(ta)的(de)學生Andrew Maudsley的(de)手指頭;(b)腹部圖像
1974年4月,Richard Ernst注(zhu)意到Lauterbur 在Raleigh (North Carolina)一次(ci)會議上的報告(gao),他認為采用(yong)脈沖梯(ti)度磁(ci)(ci)(ci)場可(ke)以取(qu)代(dai)Lauterbur的back-projection 成像方(fang)(fang)(fang)法。Richard Ernst 采用(yong)脈沖梯(ti)度磁(ci)(ci)(ci)場的方(fang)(fang)(fang)法,通過引入相(xiang)位和頻率編碼,采用(yong)傅里葉變換的方(fang)(fang)(fang)法進行(xing)二維磁(ci)(ci)(ci)共(gong)振成像(圖5),該(gai)方(fang)(fang)(fang)法隨后成為磁(ci)(ci)(ci)共(gong)振成像的標準方(fang)(fang)(fang)法。

圖5 Richard Ernst和(he)早期(qi)的(de)頭部磁共振傅里葉成像
1978 年(nian)Raymond Damadian 建(jian)立了(le)(le)FONAR公司(si),在(zai)1980 年(nian)制(zhi)造了(le)(le)首臺商業MRI 掃(sao)描儀。1982 年(nian)Robert N. Muller 獲(huo)得(de)第一幅(fu)磁(ci)化轉移磁(ci)共(gong)(gong)振(zhen)圖像(xiang)。1984 年(nian)FONAR公司(si)獲(huo)得(de)首個磁(ci)共(gong)(gong)振(zhen)成(cheng)像(xiang)設備FDA許(xu)可(ke)證。1986年(nian)Jürgen Hennig 等人發明了(le)(le)RARE(rapid acquisition with relaxation enhancement)成(cheng)像(xiang)方法(fa),Axel Haase 等開發了(le)(le)FLASH(fast low angle shot)序列(lie)。1982 年(nian)Lauterbur 實(shi)驗室(shi)實(shi)現(xian)了(le)(le)三維磁(ci)共(gong)(gong)振(zhen)成(cheng)像(xiang),并(bing)在(zai)10 年(nian)后獲(huo)得(de)商業應用。1977 年(nian)Mansfield 發展了(le)(le)Echo-planar imaging(EPI),并(bing)且與(yu)Ian Pykett一起獲(huo)取了(le)(le)第一幅(fu)EPI 圖像(xiang)。1965 年(nian)Edward O. Stejska 和John E. Tanner(the University of Wisconsin)對擴散成(cheng)像(xiang)做(zuo)了(le)(le)早(zao)期的研究。擴散成(cheng)像(xiang)(Diffusion magnetic resonance imaging)用于探測水(shui)分子的擴散運(yun)動(dong),目前已經廣泛用于MR神經系統成(cheng)像(xiang),20世紀(ji)90年(nian)代實(shi)現(xian)了(le)(le)腦功能成(cheng)像(xiang)。
在(zai)(zai)磁(ci)(ci)(ci)(ci)(ci)共(gong)(gong)振(zhen)(zhen)(zhen)成(cheng)(cheng)像(xiang)裝(zhuang)(zhuang)備的(de)(de)(de)(de)(de)(de)(de)(de)(de)發(fa)(fa)(fa)展(zhan)方(fang)面(mian),以磁(ci)(ci)(ci)(ci)(ci)場強度(du)為(wei)代(dai)(dai)表,從早(zao)期(qi)的(de)(de)(de)(de)(de)(de)(de)(de)(de)永磁(ci)(ci)(ci)(ci)(ci)0.3 T開(kai)始(shi),出現過各種(zhong)磁(ci)(ci)(ci)(ci)(ci)場強度(du)的(de)(de)(de)(de)(de)(de)(de)(de)(de)MRI 設(she)(she)備,比如永磁(ci)(ci)(ci)(ci)(ci)的(de)(de)(de)(de)(de)(de)(de)(de)(de)0.2 T、0.3 T、0.5 T 等(deng),超導(dao)的(de)(de)(de)(de)(de)(de)(de)(de)(de)0.5 T、1 T、1.5 T、2 T、3 T、4.7 T、7 T、8 T、9.4 T、10.5 T、11.75 T 等(deng),經過多(duo)年(nian)的(de)(de)(de)(de)(de)(de)(de)(de)(de)發(fa)(fa)(fa)展(zhan),超導(dao)MRI的(de)(de)(de)(de)(de)(de)(de)(de)(de)磁(ci)(ci)(ci)(ci)(ci)場強度(du)逐步固定下來,臨床設(she)(she)備的(de)(de)(de)(de)(de)(de)(de)(de)(de)磁(ci)(ci)(ci)(ci)(ci)場強度(du)有(you)(you)1.5 T、3 T和7 T,這(zhe)(zhe)種(zhong)標準(zhun)化(hua)的(de)(de)(de)(de)(de)(de)(de)(de)(de)發(fa)(fa)(fa)展(zhan)方(fang)便(bian)了磁(ci)(ci)(ci)(ci)(ci)體(ti)和射頻供應商的(de)(de)(de)(de)(de)(de)(de)(de)(de)產(chan)品開(kai)發(fa)(fa)(fa),這(zhe)(zhe)兩個技術(shu)(shu)(shu)的(de)(de)(de)(de)(de)(de)(de)(de)(de)發(fa)(fa)(fa)展(zhan)也極大(da)地促進了MRI的(de)(de)(de)(de)(de)(de)(de)(de)(de)技術(shu)(shu)(shu)提高。但(dan)是(shi),從磁(ci)(ci)(ci)(ci)(ci)共(gong)(gong)振(zhen)(zhen)(zhen)成(cheng)(cheng)像(xiang)的(de)(de)(de)(de)(de)(de)(de)(de)(de)歷史看,一個明(ming)顯的(de)(de)(de)(de)(de)(de)(de)(de)(de)特征是(shi)成(cheng)(cheng)像(xiang)原理和方(fang)法的(de)(de)(de)(de)(de)(de)(de)(de)(de)發(fa)(fa)(fa)展(zhan)遠遠領(ling)先于硬件技術(shu)(shu)(shu)的(de)(de)(de)(de)(de)(de)(de)(de)(de)發(fa)(fa)(fa)展(zhan)。比如EPI 方(fang)法早(zao)在(zai)(zai)20 世紀70 年(nian)代(dai)(dai)就由(you)Mansfield 提出,但(dan)是(shi)實(shi)際上得(de)到(dao)大(da)規模的(de)(de)(de)(de)(de)(de)(de)(de)(de)應用是(shi)在(zai)(zai)90 年(nian)代(dai)(dai)以后(hou),主(zhu)要的(de)(de)(de)(de)(de)(de)(de)(de)(de)限(xian)制是(shi)磁(ci)(ci)(ci)(ci)(ci)共(gong)(gong)振(zhen)(zhen)(zhen)成(cheng)(cheng)像(xiang)各種(zhong)硬件技術(shu)(shu)(shu)的(de)(de)(de)(de)(de)(de)(de)(de)(de)限(xian)制。磁(ci)(ci)(ci)(ci)(ci)共(gong)(gong)振(zhen)(zhen)(zhen)成(cheng)(cheng)像(xiang)裝(zhuang)(zhuang)備在(zai)(zai)發(fa)(fa)(fa)展(zhan)上需要解(jie)決眾多(duo)技術(shu)(shu)(shu)性(xing)的(de)(de)(de)(de)(de)(de)(de)(de)(de)問題。比如,早(zao)期(qi)的(de)(de)(de)(de)(de)(de)(de)(de)(de)磁(ci)(ci)(ci)(ci)(ci)共(gong)(gong)振(zhen)(zhen)(zhen)成(cheng)(cheng)像(xiang)裝(zhuang)(zhuang)置均沒有(you)(you)渦(wo)流屏蔽(bi)設(she)(she)計(ji),導(dao)致梯度(du)在(zai)(zai)磁(ci)(ci)(ci)(ci)(ci)體(ti)上產(chan)生較大(da)的(de)(de)(de)(de)(de)(de)(de)(de)(de)渦(wo)流,對一些成(cheng)(cheng)像(xiang)方(fang)法有(you)(you)嚴重(zhong)的(de)(de)(de)(de)(de)(de)(de)(de)(de)干擾,一些永磁(ci)(ci)(ci)(ci)(ci)MRI 甚至無法有(you)(you)效(xiao)運行快速自旋回波序(xu)列。現在(zai)(zai)的(de)(de)(de)(de)(de)(de)(de)(de)(de)MRI 裝(zhuang)(zhuang)置早(zao)已普遍采(cai)用主(zhu)動屏蔽(bi)的(de)(de)(de)(de)(de)(de)(de)(de)(de)梯度(du)技術(shu)(shu)(shu),使(shi)得(de)磁(ci)(ci)(ci)(ci)(ci)體(ti)的(de)(de)(de)(de)(de)(de)(de)(de)(de)動態(tai)穩定性(xing)得(de)到(dao)極大(da)的(de)(de)(de)(de)(de)(de)(de)(de)(de)提高。由(you)于磁(ci)(ci)(ci)(ci)(ci)體(ti)的(de)(de)(de)(de)(de)(de)(de)(de)(de)設(she)(she)計(ji)和工藝(yi)水(shui)平的(de)(de)(de)(de)(de)(de)(de)(de)(de)提高,磁(ci)(ci)(ci)(ci)(ci)場在(zai)(zai)成(cheng)(cheng)像(xiang)區內的(de)(de)(de)(de)(de)(de)(de)(de)(de)均勻性(xing)達(da)到(dao)非常高的(de)(de)(de)(de)(de)(de)(de)(de)(de)水(shui)準(zhun)(比如0.1 ppm),使(shi)得(de)EPI 等(deng)序(xu)列可(ke)以順利運行。
磁(ci)共振成(cheng)像經過幾十年的(de)(de)發展(zhan),現在(zai)已經廣泛(fan)用(yong)于醫學(xue)臨(lin)床(chuang)和科學(xue)研究(jiu),其發展(zhan)也(ye)遠超當初的(de)(de)水(shui)平,磁(ci)場強度(du)已經從開始(shi)的(de)(de)幾千高斯發展(zhan)到目前的(de)(de)十萬高斯甚至(zhi)更高,其應用(yong)也(ye)早(zao)已超出了臨(lin)床(chuang)的(de)(de)范圍(wei),已經成(cheng)為生命科學(xue)研究(jiu)的(de)(de)重要工具。
迄今為止,所有人類成像的MRI系統的分辨率最高為200 μm,而且設計都以氫質子的磁共振信號為出發點。由于腦科學研究的深入,需要更高分辨率的MRI系統,使得人類成像的分辨率提高到50—100 μm的水平,并且可進行比如代謝水平等的功能性成像。另一方面,23Na 等攜帶豐(feng)富代謝信(xin)(xin)息的(de)非質子核(he)素也可(ke)以提供磁(ci)共(gong)振信(xin)(xin)號(hao),但由于其信(xin)(xin)號(hao)信(xin)(xin)噪(zao)比很低(di),當前的(de)MRI設備很難實現對這類核(he)素的(de)磁(ci)共(gong)振成像。
根(gen)據磁共振物理(li)學原理(li),圖(tu)像(xiang)信(xin)(xin)噪比和頻譜(pu)分(fen)辨(bian)(bian)力隨著磁場強度(du)的增(zeng)強而(er)增(zeng)強。想要(yao)提(ti)高(gao)磁共振成像(xiang)的成像(xiang)性能(neng),需要(yao)進(jin)一步(bu)提(ti)高(gao)MRI系統的磁場強度(du)以及提(ti)高(gao)MRI系統的梯度(du)性能(neng),以達(da)到理(li)想的信(xin)(xin)噪比,從而(er)滿足超高(gao)分(fen)辨(bian)(bian)率(lv)成像(xiang)的需要(yao)。越高(gao)的場強就會激(ji)發越多的自旋原子核參與(yu)成像(xiang),從而(er)具(ju)有(you)更高(gao)的靈敏(min)度(du)、分(fen)辨(bian)(bian)率(lv)、信(xin)(xin)噪比、對比度(du)和影像(xiang)清晰(xi)度(du)。
超高場MRI的極高信噪比增益,可以實現高靈敏的X核成像。根據核磁共振原理,除了傳統的1H核外,大量的自旋原子核(X 核)也可以進行磁共振成像,而其中一些是生命新陳代謝過程中至關重要的元素或其同位素,如23Na、13 C、19F、31P等。但是,在生命體中和1H相比,X核豐度(du)(du)有限;因此(ci)也(ye)只有在極(ji)高(gao)(gao)磁(ci)場的(de)(de)(de)磁(ci)共(gong)振(zhen)下,更多(duo)的(de)(de)(de)X核被激發并參(can)與(yu)成(cheng)(cheng)(cheng)像(xiang)(xiang)(xiang),才能夠(gou)獲得(de)高(gao)(gao)靈敏度(du)(du)和(he)足(zu)夠(gou)的(de)(de)(de)信噪比,使(shi)得(de)高(gao)(gao)質量(liang)X核成(cheng)(cheng)(cheng)像(xiang)(xiang)(xiang)成(cheng)(cheng)(cheng)為(wei)現實(shi)。例如,60%的(de)(de)(de)腦能量(liang)用于細(xi)胞(bao)膜(mo)(mo)的(de)(de)(de)鈉鉀轉運,維(wei)持(chi)細(xi)胞(bao)內環(huan)境(jing)的(de)(de)(de)穩定(ding)亦(yi)具有重要意(yi)義,因此(ci)極(ji)高(gao)(gao)場磁(ci)共(gong)振(zhen)的(de)(de)(de)Na成(cheng)(cheng)(cheng)像(xiang)(xiang)(xiang)可(ke)以對于腦的(de)(de)(de)細(xi)胞(bao)密(mi)度(du)(du)和(he)細(xi)胞(bao)膜(mo)(mo)代謝高(gao)(gao)靈敏度(du)(du)分析(xi)實(shi)現突破。
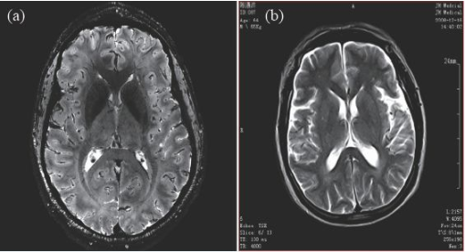
因(yin)此,磁(ci)(ci)(ci)(ci)共振(zhen)成像(xiang)技(ji)術目前的(de)發展趨勢,是朝(chao)著更高(gao)(gao)磁(ci)(ci)(ci)(ci)場(chang)(chang)強度發展,以期獲(huo)得更高(gao)(gao)分(fen)(fen)辨率的(de)圖像(xiang),并實現多核成像(xiang)。圖6 顯示了磁(ci)(ci)(ci)(ci)場(chang)(chang)強度的(de)高(gao)(gao)低對圖像(xiang)分(fen)(fen)辨率的(de)影像(xiang),(a)為7 T 磁(ci)(ci)(ci)(ci)場(chang)(chang)下的(de)圖像(xiang),(b)為0.35 T磁(ci)(ci)(ci)(ci)場(chang)(chang)下的(de)圖像(xiang),二(er)者的(de)圖像(xiang)分(fen)(fen)辨率可(ke)見一斑。

圖6 T2 加權成(cheng)像(xiang)(xiang)(a)7 T 下的成(cheng)像(xiang)(xiang),分辨(bian)率(lv)約0.3 mm;(b)0.35 T下的成(cheng)像(xiang)(xiang),分辨(bian)率(lv)約1 mm
由于超(chao)(chao)高(gao)場(chang)(7 T以上)磁共(gong)振成(cheng)像(xiang)得天獨厚的(de)優勢和廣泛應用前景,西方各(ge)國學術(shu)界(jie)、產業界(jie)和政府機構均(jun)高(gao)度重視,成(cheng)為(wei)當前磁共(gong)振成(cheng)像(xiang)領(ling)域的(de)競(jing)爭的(de)焦點。7 T 人(ren)體(ti)磁共(gong)振成(cheng)像(xiang)系統正在(zai)迅猛發展,西門子(zi)已推出7 T 臨(lin)床產品,目前全(quan)球裝機量正在(zai)迅猛增長(chang)。更為(wei)先進的(de)研究型9.4 T人(ren)體(ti)磁共(gong)振成(cheng)像(xiang)系統,目前全(quan)球已建和在(zai)建的(de)也(ye)超(chao)(chao)過(guo)了4 臺(tai)。另外,國內(nei)自(zi)行建造的(de)9.4 T人(ren)類(lei)磁共(gong)振成(cheng)像(xiang)裝置也(ye)進入了總體(ti)調試(shi)階段,它(ta)的(de)建成(cheng)不僅是(shi)國內(nei)磁場(chang)強度最高(gao)的(de)超(chao)(chao)高(gao)場(chang)磁共(gong)振成(cheng)像(xiang)裝置,在(zai)亞洲(zhou)也(ye)是(shi)首(shou)屈一(yi)指。
目前國際上在(zai)(zai)建最高場(chang)強人體(ti)磁(ci)共振成像系(xi)(xi)統(tong)是正在(zai)(zai)法國研(yan)制的(de)、耗資達(da)2億多歐(ou)元的(de)11.75 T系(xi)(xi)統(tong),已經完成了超導磁(ci)體(ti)的(de)建造工(gong)作,正在(zai)(zai)進行(xing)調試(shi),這預示(shi)著更高磁(ci)場(chang)強度(du)的(de)極高場(chang)(Extremely High Field,EHF)系(xi)(xi)統(tong)的(de)研(yan)制呼之欲出。
2017 年,西門子公司(si)將目前用于(yu)臨床的最高磁場(chang)強度的7 T 磁共振成(cheng)像(xiang)設備推向臨床,相應地,國際電(dian)工學會將人體磁場(chang)安全限制也放寬到了8 T。
目前已經建成的(de)人類(lei)成像的(de)最(zui)高(gao)磁場強度的(de)裝置是位(wei)于明尼蘇達大學的(de)10.5 T,由西門子公司(si)為其建造(圖7)。

圖7 MAGNETOM 10.5 T(2008 年開始建(jian)造,2018 年3 月1 月進行人體掃(sao)描) (a)磁體;(b)射頻線(xian)圈;(c)人體圖像
該裝置的性能參數為:磁體重量110噸,被動屏蔽,室溫孔徑88 cm,磁體長度4.1 m,磁體寬度3.2 m,磁場均勻性<0.07 ppm/25 cm DSV,運行溫度3 K,導線長度433 km(NbTi 線)。該裝置2018 年3 月正式報告進行了人體掃描實驗[2]。
除了(le)(le)(le)人體成像(xiang)的(de)超高場磁共振成像(xiang)裝置外,用于動(dong)物臨床前(qian)應用的(de)裝置在磁場強(qiang)度上遠遠走在了(le)(le)(le)前(qian)面,10 年前(qian)就出現了(le)(le)(le)16.4 T/26 cm動(dong)物成像(xiang)MRI 機,德國的(de)Bruker公司在幾年前(qian)也推(tui)出了(le)(le)(le)更高磁場的(de)動(dong)物成像(xiang)機—— 21 T/11 cm動(dong)物成像(xiang)MRI機(圖(tu)8)。

圖(tu)8 (a)21 T MRI磁體;(b)大鼠(shu)的腦(nao)部高分(fen)辨率成像(xiang)(分(fen)辨率26 μm)
超高場MRI裝置的核心是超導磁體系統。傳統的MRI超導磁體中的線圈采用NbTi 合金導線繞制[3],在7 T以下的設備上,NbTi 導線有上佳的表現。到了9.4 T 以上,在設計上則需要專門的策略,其臨界電流密度在9.4 T的磁場背景下接近了極限(圖9(a))[4]。對于11.7 T 的MRI磁體,有采用進一步降低導線溫度的方案,使NbTi 導線依然能夠正常運行(圖9(b))。更高的磁場則需要采用Nb3Sn材料。

圖9 (a)臨界電流密度與磁場強度的關系(NdTi、Nb3Sn、HTS);(b)法國(guo)能源署11.75 T人體成(cheng)像MRI磁體
法國CEA的(de)11.75T人(ren)體磁共振成像(xiang)裝置參(can)數為(wei):磁體溫(wen)度1.8 K,磁場(chang)強度11.75 T, 磁場(chang)均勻(yun)度0.5 ppm/22 cm DSV,90 cm 室溫(wen)孔徑,主動(dong)屏蔽(bi)。
超導磁(ci)體(ti)系統(tong)的(de)(de)磁(ci)場(chang)(chang)均勻(yun)(yun)性(xing)(xing)是核心指標(biao)(biao)之一,為達到(dao)所需(xu)(xu)要的(de)(de)均勻(yun)(yun)性(xing)(xing)指標(biao)(biao),磁(ci)體(ti)在(zai)設計建(jian)造時(shi),需(xu)(xu)要幾個(ge)階段的(de)(de)設計與(yu)工藝制造:(1)設計一個(ge)繞組陣列,補(bu)償磁(ci)場(chang)(chang)的(de)(de)軸向(xiang)變化,并且采用多個(ge)補(bu)償線圈,達到(dao)設計的(de)(de)磁(ci)場(chang)(chang)均勻(yun)(yun)性(xing)(xing)。同時(shi),磁(ci)體(ti)通常配置(zhi)多組的(de)(de)勻(yun)(yun)場(chang)(chang)線圈,用于(yu)勵磁(ci)后的(de)(de)磁(ci)場(chang)(chang)調節;(2)磁(ci)體(ti)建(jian)造完成后,對實(shi)際(ji)的(de)(de)磁(ci)場(chang)(chang)形態(tai)測量; (3) 通過勻(yun)(yun)場(chang)(chang),補(bu)償實(shi)際(ji)磁(ci)場(chang)(chang)的(de)(de)不均勻(yun)(yun)性(xing)(xing)。
磁(ci)(ci)場的(de)均(jun)勻性(xing)是(shi)超(chao)導(dao)磁(ci)(ci)體線圈設(she)計(ji)(ji)的(de)非常重要(yao)的(de)方面, 然而,力(li)的(de)設(she)計(ji)(ji)始終是(shi)一個嚴酷(ku)的(de)問(wen)題。任何磁(ci)(ci)體線圈的(de)設(she)計(ji)(ji),如果力(li)和應力(li)超(chao)過某些限制,超(chao)導(dao)線圈將不可逆(ni)轉的(de)損壞。另一個重要(yao)的(de)設(she)計(ji)(ji)準則是(shi)電流(liu)密(mi)度的(de)最大(da)值(zhi),它將影響超(chao)導(dao)磁(ci)(ci)體的(de)磁(ci)(ci)場穩定性(xing)和使用穩定性(xing)。
勻(yun)場(chang)(chang)是超(chao)(chao)導(dao)磁(ci)(ci)體(ti)的(de)(de)磁(ci)(ci)場(chang)(chang)精細調(diao)整的(de)(de)一個(ge)過(guo)程,任何MRI 超(chao)(chao)導(dao)磁(ci)(ci)體(ti)建(jian)造完(wan)成時(shi),其初始的(de)(de)磁(ci)(ci)場(chang)(chang)均勻(yun)度都達不(bu)到使用(yong)要(yao)求,這個(ge)主(zhu)要(yao)是磁(ci)(ci)體(ti)建(jian)造時(shi)的(de)(de)誤差帶來的(de)(de)。通常,超(chao)(chao)高場(chang)(chang)MRI磁(ci)(ci)體(ti)均需要(yao)超(chao)(chao)導(dao)勻(yun)場(chang)(chang)線圈(quan),在超(chao)(chao)導(dao)磁(ci)(ci)體(ti)建(jian)造時(shi),即將(jiang)多組的(de)(de)超(chao)(chao)導(dao)勻(yun)場(chang)(chang)線圈(quan)繞制在主(zhu)線圈(quan)的(de)(de)外側,調(diao)試(shi)時(shi)分別通過(guo)改變每組線圈(quan)的(de)(de)電(dian)流調(diao)節磁(ci)(ci)場(chang)(chang)均勻(yun)性,完(wan)成后將(jiang)線圈(quan)閉環。
被動勻場常常在超導磁體的勻場中被采用[5]。被動勻場(chang)時通(tong)過(guo)在(zai)磁(ci)(ci)體內壁(bi)或者梯度線(xian)圈(quan)內部(bu)設(she)(she)置(zhi)(zhi)的(de)若干個抽屜(ti)中放(fang)置(zhi)(zhi)導(dao)磁(ci)(ci)的(de)材(cai)(cai)料(liao)實現的(de),該材(cai)(cai)料(liao)被飽和極(ji)化后,其磁(ci)(ci)場(chang)引起超導(dao)線(xian)圈(quan)所產(chan)生的(de)磁(ci)(ci)場(chang)的(de)變(bian)化,通(tong)過(guo)在(zai)適當(dang)(dang)位(wei)置(zhi)(zhi)放(fang)置(zhi)(zhi)適當(dang)(dang)的(de)導(dao)磁(ci)(ci)材(cai)(cai)料(liao),可以補償磁(ci)(ci)場(chang)的(de)不均勻,并且(qie)具有(you)很高(gao)的(de)效率(lv)。圖10(a)為CAS的(de)9.4 T MRI系統所使用的(de)梯度線(xian)圈(quan),在(zai)其中設(she)(she)置(zhi)(zhi)有(you)36個抽屜(ti),可進行高(gao)階(jie)的(de)勻場(chang)。

圖(tu)10 (a)制(zhi)(zhi)作完成的(de)9.4 T梯(ti)度線(xian)圈;(b)繞(rao)制(zhi)(zhi)中(zhong)的(de)勻場線(xian)圈
在超高場(chang)(chang)(chang)MRI中,采用被動(dong)勻(yun)場(chang)(chang)(chang)可能會(hui)帶來其他的問題,比如溫(wen)度引起的磁(ci)場(chang)(chang)(chang)漂(piao)移和均勻(yun)性的變(bian)化,因此,需要仔細選擇勻(yun)場(chang)(chang)(chang)材料(liao),并且盡量減少勻(yun)場(chang)(chang)(chang)材料(liao)的使用。
室(shi)溫勻場(chang)(chang)(RT shim)對于(yu)超高場(chang)(chang)磁體(ti)(ti)系統的(de)(de)(de)磁場(chang)(chang)調整是必不(bu)可(ke)少的(de)(de)(de),它是對在磁體(ti)(ti)溫孔內(nei)設(she)置的(de)(de)(de)若干組銅線圈施加(jia)電流,其產生的(de)(de)(de)磁場(chang)(chang)補償(chang)磁體(ti)(ti)磁場(chang)(chang)的(de)(de)(de)不(bu)均勻性。一般地,室(shi)溫勻場(chang)(chang)由多組線圈構成,比如CAS的(de)(de)(de)9.4 T 系統就采用(yong)了14 組室(shi)溫勻場(chang)(chang)線圈(圖(tu)10(b)),其參(can)數如表1所示。

表(biao)1 CAS 9.4 T勻場(chang)線圈參數
超高場MRI 的梯度系統面臨一些新的問題。梯度系統的性能主要由2 項指標來表征:磁場梯度的最大強度(Gmax)和切換率。目前,商用的梯度Gmax 一般可以達到60 mT/m, 最大切換率200 T/m/s。對于梯度線圈的設計一般還是采用逆向方法進行[6,7],并通過正向的優化得到最終的線圈結構[8,9]。圖11為(wei)CAS 9.4 T系統所采(cai)用(yong)的一種(zhong)梯(ti)(ti)度線圈(quan),其(qi)最(zui)大梯(ti)(ti)度強度Gmax 可達到80 mT/m,切換率達到400 T/m/s,由于(yu)采(cai)用(yong)非對稱(cheng)設(she)計,PNS得到有(you)效的減小。

圖11 9.4 T非對稱內插梯度線圈(quan)
在超高場MRI中,梯度系統的運行噪聲將高于普通的設備,其噪聲的主要來源是梯度線圈內施加脈沖電流后,繞組在主磁場下洛倫茲力的作用產生的。1.5 T的設備最大的噪聲可達到120 dB[10],而對于11.7 T 的設備,最大的噪聲接近140 dB,必須對受試者加以聽力保護。雖然有些靜音的措施,比如采用隔音材料[11],甚至(zhi)修改序列和梯度脈(mo)沖(chong)的(de)(de)波形等,但是對(dui)于專門的(de)(de)成像掃描,噪聲依然是一個嚴重的(de)(de)問題。
梯度線圈的(de)振動對(dui)于超高場MRI也是需要(yao)注意的(de)問題(ti)。繞組的(de)受(shou)力與電流和磁場均成(cheng)正比(式8)。

超高場MRI 的梯度電流通常可以達到700 A以上,對于一個繞組長度幾百米的線圈,繞組承受的總的電磁力可超過200 噸,這些力均作用在線圈的結構上。由于超高場MRI的磁體通常都比較長,在梯度線圈放置的空間內其磁場基本上為一個均勻的磁場,梯度線圈都是對稱結構,因此總的力與力矩都是平衡的。但是線圈的振動是不可避免,特別是在接近線圈的共振頻率時,小的電流即可引起線圈的振動(圖12)[12],因此梯度線圈需要有堅實的骨架支撐,線圈總重量可超過2噸[13]。

圖12 梯(ti)度線圈(quan)的振動模擬計(ji)算
超(chao)高(gao)場MRI的(de)(de)(de)射(she)頻(pin)場設計(ji)也是一(yi)個較為困(kun)難(nan)的(de)(de)(de)問(wen)題(ti)。由于(yu)射(she)頻(pin)頻(pin)率超(chao)過了(le)300 MHz,介(jie)電常數(shu)引起的(de)(de)(de)問(wen)題(ti)非(fei)常突出。圖(tu)13 是一(yi)個在(zai)7 T 下的(de)(de)(de)成像(xiang)結果,可以(yi)看到(dao)在(zai)圖(tu)像(xiang)內部(bu)(bu)的(de)(de)(de)信號非(fei)常不均(jun)勻(yun),由于(yu)射(she)頻(pin)波(bo)長的(de)(de)(de)極度縮短,組織(zhi)的(de)(de)(de)介(jie)電常數(shu)對射(she)頻(pin)場的(de)(de)(de)分布有極大的(de)(de)(de)影響(xiang),這也是目(mu)前(qian)超(chao)高(gao)場MRI 需(xu)要(yao)解決(jue)的(de)(de)(de)重要(yao)問(wen)題(ti)之(zhi)一(yi)。目(mu)前(qian)的(de)(de)(de)9.4 T以(yi)上的(de)(de)(de)MRI設備還難(nan)以(yi)獲得人體體部(bu)(bu)掃描的(de)(de)(de)良好圖(tu)像(xiang),其(qi)主要(yao)應用還是做(zuo)頭部(bu)(bu)的(de)(de)(de)掃描。

圖13 超高(gao)場下的射頻場不均勻性
SAR值(zhi)升(sheng)高(gao)是(shi)射頻場另一個問題(ti),隨著(zhu)射頻頻率的(de)提高(gao),組(zu)織對射頻能量(liang)的(de)吸收(shou)急劇上升(sheng),可(ke)導致組(zu)織局(ju)部(bu)的(de)溫度升(sheng)高(gao)。SAR值(zhi)的(de)計(ji)算可(ke)由式9表示。

σ為組織電導率,ρ為組織密度。對于SAR值各國和國際組織均有嚴格的限制,因為過量的射頻能量的吸收可能會對受試者造成危害。
圖14 是一個SAR值對大腦溫度升高的一個仿真結果[14],對于(yu)平均(jun)SAR=3 W/kg的(de)頭部掃(sao)描,7 T(右側(ce))下的(de)溫度升高顯著高于(yu)3 T(左側(ce))。因此在超(chao)高MRI中均(jun)需要配置一個可(ke)靠的(de)SAR值監控裝置。

圖(tu)14 局部SAR值的(de)仿真結果
為了形成(cheng)一個較為均勻的射頻場,超高(gao)場MRI一般都(dou)采用多通(tong)道的激勵線(xian)圈,通(tong)過(guo)調(diao)整(zheng)每個線(xian)圈的相位,實現均勻的激發。
國(guo)內(nei)在(zai)(zai)(zai)高(gao)(gao)場(chang)(chang)磁(ci)(ci)共振成像(xiang)(xiang)(xiang)設(she)備開(kai)發方面較晚,1.5 T 臨床MRI 產品大(da)約在(zai)(zai)(zai)2009 年(nian)前(qian)后才完(wan)成產品開(kai)發,目(mu)前(qian)國(guo)內(nei)開(kai)發的最高(gao)(gao)磁(ci)(ci)場(chang)(chang)強(qiang)度(du)(du)的臨床MRI 產品是3 T,在(zai)(zai)(zai)國(guo)家(jia)科技(ji)計劃的支(zhi)持下(xia),有(you)(you)企業(ye)正在(zai)(zai)(zai)開(kai)發3.2 T 和5 T 的臨床MRI 產品。因此(ci),國(guo)內(nei)目(mu)前(qian)在(zai)(zai)(zai)超高(gao)(gao)場(chang)(chang)MRI的成果主(zhu)要(yao)體(ti)現在(zai)(zai)(zai)應用方面,為科研的需要(yao),國(guo)內(nei)各研究機構采(cai)購了大(da)量的超高(gao)(gao)場(chang)(chang)磁(ci)(ci)共振成像(xiang)(xiang)(xiang)設(she)備,這其中又分為兩類(lei):一類(lei)是用于(yu)動植(zhi)物成像(xiang)(xiang)(xiang)的設(she)備,磁(ci)(ci)場(chang)(chang)強(qiang)度(du)(du)普遍較高(gao)(gao),主(zhu)要(yao)有(you)(you)7 T、9.4 T和11.75 T三種(zhong)磁(ci)(ci)場(chang)(chang)強(qiang)度(du)(du);另一類(lei)是人類(lei)成像(xiang)(xiang)(xiang)設(she)備,目(mu)前(qian)只有(you)(you)7 T 人類(lei)全(quan)身磁(ci)(ci)共振成像(xiang)(xiang)(xiang)裝置。
對于超高場MRI技術和設備的(de)研發,國(guo)內一些機構在(zai)(zai)做嘗試。筆(bi)者所(suo)在(zai)(zai)團隊與國(guo)內相關研究機構和企業協(xie)作,曾經在(zai)(zai)2016 年開(kai)發了國(guo)內首臺自(zi)主研發的(de)7 T 磁共振動植(zhi)物成像系統,采用自(zi)行研制的(de)7 T 超導(dao)磁體(ti)、梯度線圈、譜儀控(kong)制臺等核(he)心部件,成功(gong)完成系統的(de)建造和測(ce)(ce)試,所(suo)獲得的(de)測(ce)(ce)試圖(tu)像分辨率達到(dao)150 μm(圖(tu)15)。

圖(tu)15 (a)7 T/210 MRI 原型(xing)系統;(b)梯度線圈(600 mT/m/300 A);(c)測試圖(tu)像(FLASH序列,分(fen)辨率(lv)150 μm)
目前正在中國科學院生物物理研(yan)究所調(diao)試的9.4 T人類(lei)全身磁共振(zhen)(zhen)成(cheng)(cheng)像(xiang)裝置,是(shi)采用(yong)自主研(yan)發的核心部件研(yan)制的國內最(zui)高水平的磁共振(zhen)(zhen)成(cheng)(cheng)像(xiang)裝置,現已完(wan)(wan)成(cheng)(cheng)了系統的整(zheng)合,并獲取了模(mo)體的圖(tu)像(xiang),近期將完(wan)(wan)成(cheng)(cheng)系統調(diao)試(圖(tu)16)。該裝置的性能參(can)數為(wei):磁體運(yun)行溫(wen)(wen)度4.2 K,80 cm 室溫(wen)(wen)孔徑,磁場(chang)均勻度0.05 ppm/22 cm,被(bei)動(dong)屏蔽。

圖(tu)16 9.4 T人類(lei)全身磁共振成像裝置(CAS)
隨著應用需(xu)求(qiu)的(de)(de)提高(gao),超高(gao)場(chang)(chang)MRI有向(xiang)更高(gao)磁場(chang)(chang)強度發展的(de)(de)趨勢,2016 年開始(shi),國內外學術(shu)(shu)界陸續(xu)提出了建造14 T甚至20 T人類(lei)(lei)成(cheng)像(xiang)裝(zhuang)置的(de)(de)可能性。從技(ji)術(shu)(shu)上看,因(yin)為(wei)小孔(kong)徑的(de)(de)動物成(cheng)像(xiang)裝(zhuang)置已經做到了21 T,因(yin)此采用混合磁體(ti)方案(an)是有可能達到14 T 以上中等孔(kong)徑的(de)(de)極高(gao)磁場(chang)(chang)強度的(de)(de),實(shi)現(xian)人類(lei)(lei)的(de)(de)腦部成(cheng)像(xiang)。這種MRI裝(zhuang)置的(de)(de)出現(xian),可將人類(lei)(lei)探索(suo)生命過程的(de)(de)影像(xiang)技(ji)術(shu)(shu)提升到亞微米(mi)時代,并且由于(yu)X核成(cheng)像(xiang)的(de)(de)實(shi)現(xian),能夠獲得前(qian)所(suo)未(wei)有的(de)(de)生命活動的(de)(de)信息。
磁(ci)(ci)共(gong)振(zhen)(zhen)成(cheng)(cheng)(cheng)像(xiang)技術是(shi)人類了(le)不(bu)起(qi)的(de)一項(xiang)技術發(fa)明,不(bu)僅為(wei)(wei)人們提(ti)供了(le)一種(zhong)(zhong)安全有效的(de)臨床醫學(xue)診斷(duan)工具(ju),而且(qie)為(wei)(wei)人類認識自己(ji)開辟了(le)一種(zhong)(zhong)可視化的(de)研(yan)究途徑。作為(wei)(wei)一種(zhong)(zhong)強(qiang)有力(li)的(de)研(yan)究方法,超高(gao)場(chang)磁(ci)(ci)共(gong)振(zhen)(zhen)成(cheng)(cheng)(cheng)像(xiang)將向(xiang)更高(gao)的(de)磁(ci)(ci)場(chang)強(qiang)度(du)發(fa)展,從而獲得更為(wei)(wei)精(jing)細的(de)圖像(xiang)。現有的(de)磁(ci)(ci)共(gong)振(zhen)(zhen)動(dong)(dong)(dong)物成(cheng)(cheng)(cheng)像(xiang)的(de)磁(ci)(ci)場(chang)強(qiang)度(du)為(wei)(wei)21 T,但是(shi)目(mu)前(qian)可穩態運行磁(ci)(ci)體的(de)最高(gao)磁(ci)(ci)場(chang)強(qiang)度(du)已經超過(guo)27 T,這就(jiu)為(wei)(wei)更強(qiang)大(da)的(de)磁(ci)(ci)共(gong)振(zhen)(zhen)成(cheng)(cheng)(cheng)像(xiang)裝置的(de)建設(she)提(ti)供的(de)基(ji)礎,未來可能出現磁(ci)(ci)場(chang)強(qiang)度(du)超過(guo)25 T,甚(shen)至達到30 T的(de)極(ji)高(gao)場(chang)磁(ci)(ci)共(gong)振(zhen)(zhen)成(cheng)(cheng)(cheng)像(xiang)裝置,這就(jiu)可以為(wei)(wei)科學(xue)研(yan)究提(ti)供一種(zhong)(zhong)活(huo)體觀察細胞尺度(du)生(sheng)命(ming)(ming)活(huo)動(dong)(dong)(dong)的(de)顯微(wei)成(cheng)(cheng)(cheng)像(xiang)方法,通過(guo)4D電影成(cheng)(cheng)(cheng)像(xiang),動(dong)(dong)(dong)態觀察研(yan)究生(sheng)命(ming)(ming)活(huo)動(dong)(dong)(dong)過(guo)程,正是(shi)應用的(de)需求(qiu)和技術的(de)進步推動(dong)(dong)(dong)超高(gao)場(chang)磁(ci)(ci)共(gong)振(zhen)(zhen)成(cheng)(cheng)(cheng)像(xiang)的(de)發(fa)展。