半導體激光器具有轉換效率高,體積小,重量輕,可靠性高,價格低廉,便于內調制等優點,其應用潛力大。由于激光器的這些優良特性,因而越來越廣泛地被用于國防、科研、醫療、光通信、光纖通訊、集成光學、激光印刷、激光束掃描、光盤存貯技術等領域[1-2]。因此研制性能可(ke)靠、經濟耐用(yong)的半導體(ti)激光系統具有很高的實用(yong)價值。
由半導體激光管(LD)電壓和電流特性可知:其抗上電沖擊的能力差,工作時微小電壓變化會導致激光管電流、器件參數變化較大;此外其供電電源紋波過大也會使得激光器輸出不穩定[3]。這就(jiu)對(dui)半(ban)導體激(ji)光器的驅動電(dian)源(yuan)(yuan)(yuan)提出十分嚴格的要求(qiu):電(dian)源(yuan)(yuan)(yuan)供電(dian)瞬(shun)間(jian)上(shang)升沿平(ping)滑(hua);電(dian)源(yuan)(yuan)(yuan)輸出電(dian)壓穩定可(ke)靠(kao),紋(wen)波小,功率大;斷電(dian)電(dian)源(yuan)(yuan)(yuan)緩(huan)慢平(ping)滑(hua)失電(dian)。
為了保證半導體激光器正常工作,目前激光驅動電源大多采用以高頻、低開關阻抗的MOSFET為核心的開關電源等技術進行設計[4]。雖然其激光電源紋波小,但由于激光器價格昂貴、易受過電壓沖擊,不能滿足高功率激光器對得電、失電平滑控制的要求。而且目前多數激光電源功率偏小,機械調節操作性差,電壓上升和下降時間控制難度大,可靠性低[5]。
介紹一種(zhong)基于(yu)FPGA的(de)可調激(ji)光(guang)(guang)系(xi)統(tong)。該系(xi)統(tong)充分(fen)利用開關(guan)電(dian)源芯片的(de)優點,結(jie)合流行的(de)FPGA(現(xian)場可編(bian)程(cheng)邏(luo)輯門陣列)和(he)自動(dong)控制技(ji)術,實(shi)現(xian)了(le)激(ji)光(guang)(guang)器(qi)件驅(qu)動(dong)電(dian)源實(shi)時、可調、穩定、可靠供電(dian)。與現(xian)有(you)(you)激(ji)光(guang)(guang)系(xi)統(tong)相比,系(xi)統(tong)集成度高、驅(qu)動(dong)電(dian)流大、設計簡潔,在血液分(fen)析儀(yi)的(de)應用中滿(man)足其技(ji)術指標,提(ti)升了(le)國產血液分(fen)析儀(yi)的(de)競爭力,對提(ti)高國內醫療診(zhen)斷水平具(ju)有(you)(you)重要(yao)現(xian)實(shi)意義。
血液分析(xi)儀采(cai)用散射(she)光(guang)檢(jian)測(ce)技術對(dui)血細胞分析(xi)檢(jian)測(ce),該技術中的激光(guang)發射(she)器為關鍵物料(liao),其系統可(ke)靠性直接影響(xiang)光(guang)源(yuan)信號,決定了血細胞檢(jian)測(ce)準確性。為了消除光(guang)源(yuan)間的微小差異,需(xu)要對(dui)激光(guang)的電源(yuan)上升沿、保持(chi)、下降沿進(jin)行(xing)持(chi)續(xu)調節。
技術指標如下:
(1)激光工(gong)作時,額(e)定(ding)功(gong)率(lv):DC4~5V/1A;
(2)激光電(dian)源上(shang)電(dian)上(shang)升沿(yan)時間:≤5ms;
(3)激光電(dian)(dian)源(yuan)斷電(dian)(dian)時電(dian)(dian)壓在20s≤T≤30s緩(huan)慢下降至1.26V并保(bao)持。
可(ke)調激(ji)(ji)(ji)光(guang)電(dian)源控(kong)制系(xi)(xi)統(tong)包含以下幾個(ge)模塊(kuai)(kuai):系(xi)(xi)統(tong)電(dian)源、FPGA控(kong)制器、軟開關控(kong)制器、激(ji)(ji)(ji)光(guang)供電(dian)模塊(kuai)(kuai)、激(ji)(ji)(ji)光(guang)發射(she)器。
其中系統電源為DC24V及降壓模塊組成,為FPGA和激光供電模塊供電。系統工作原理是:FPGA作為系統控制核心,首先控制軟開關控制器導通,使得激光供電模塊得電;DCDC降壓轉換,然后FPGA發出數字信號控制數字可調電阻阻值,激光供電模塊穩壓輸出;激光發射器得電,發出激光[6]。
光源發射器作為核心部件,選擇Philips Lumileds公司的專利LUXEON V高效能光源。它是第一個將傳統照明的光輸出特性結合LED體積小、壽命持久、節省能源等優點的產品,已被廣泛使用于一般照明、汽車照明、便攜式照明、數位影像、顯示屏背光和信號顯示等領域[7]。
現場可編程門陣列(Field Programmable Gate Array,FPGA)器件具有集成度高、功耗低、可靠性高等優點,以及可編程、并行處理的獨特優勢,廣泛應用于電子通信、航空航天等領域[8]。采用(yong)AlTERA公(gong)司(si)Cyclone III系(xi)列(lie)之EP3C40F484芯片,芯片集(ji)成有39600個邏輯(ji)單元,4個PLL,331個外部獨立I/O,具有功(gong)耗低、集(ji)成度高等特點。該FPGA器件(jian)結合Altera公(gong)司(si)的(de)非(fei)易失的(de)存儲器EPCS Flash芯片EPCS64N完成嵌入式(shi)系(xi)統的(de)設計。
為(wei)滿(man)(man)足(zu)血細胞(bao)分析儀激(ji)(ji)光(guang)(guang)源工(gong)作時(shi)(shi)1A的大(da)電(dian)(dian)(dian)(dian)(dian)(dian)流(功率為(wei)4W),且(qie)電(dian)(dian)(dian)(dian)(dian)(dian)源供(gong)電(dian)(dian)(dian)(dian)(dian)(dian)瞬(shun)間升壓(ya)(ya)、斷電(dian)(dian)(dian)(dian)(dian)(dian)(20~30)s逐漸(jian)降壓(ya)(ya)至1.26V的特(te)殊要求,本課題采用一種數(shu)(shu)(shu)字可(ke)調(diao)(diao)電(dian)(dian)(dian)(dian)(dian)(dian)壓(ya)(ya)激(ji)(ji)光(guang)(guang)電(dian)(dian)(dian)(dian)(dian)(dian)源電(dian)(dian)(dian)(dian)(dian)(dian)路實現。電(dian)(dian)(dian)(dian)(dian)(dian)路采用穩壓(ya)(ya)芯片LM2596和數(shu)(shu)(shu)字可(ke)調(diao)(diao)電(dian)(dian)(dian)(dian)(dian)(dian)位(wei)器AD5160搭建。其中(zhong)LM2596穩壓(ya)(ya)轉換芯片,轉換輸出5V時(shi)(shi),負載電(dian)(dian)(dian)(dian)(dian)(dian)流最大(da)可(ke)達3A,完全(quan)滿(man)(man)足(zu)激(ji)(ji)光(guang)(guang)光(guang)(guang)源的大(da)電(dian)(dian)(dian)(dian)(dian)(dian)流大(da)功率需(xu)求。而采用AD5291數(shu)(shu)(shu)字電(dian)(dian)(dian)(dian)(dian)(dian)位(wei)器作為(wei)LM2596電(dian)(dian)(dian)(dian)(dian)(dian)壓(ya)(ya)轉換的平衡電(dian)(dian)(dian)(dian)(dian)(dian)阻(zu),再通(tong)過(guo)FPGA編程實時(shi)(shi)更(geng)改其阻(zu)值,從而滿(man)(man)足(zu)激(ji)(ji)光(guang)(guang)電(dian)(dian)(dian)(dian)(dian)(dian)源的特(te)殊需(xu)求。
數(shu)字電位(wei)器AD5160為8位(wei)256通道數(shu)字電位(wei)器,具有調節(jie)精(jing)度高、工作壽命極長、功耗小、無噪聲、無機(ji)械磨損(sun)、數(shu)據可讀(du)寫(xie)、具有配置(zhi)寄存器及數(shu)據寄存器等優點。電位(wei)器量(liang)程為100kΩ,阻值變化絕對精(jing)度為0.39kΩ。
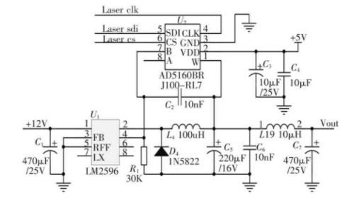
U1為穩壓芯片LM2596,U2為數字可變電阻(VR)器件AD5160,Laser_clk、Laser_sdi和 Lase_cs分別是 FPGA 與 U2的SPI串行配置接口的時鐘、數據和選通信號,如圖1所示。C1~C7優質電容,均為了盡可能減少瞬態干擾,并濾除低頻紋波。R1阻值為30kΩ,U2數(shu)字可變(bian)電阻的1腳和7腳之間的阻值(zhi)為(wei)(wei)Ru2,則可計算出(chu)輸出(chu)電壓為(wei)(wei)1.25V。

圖1 激光電源供電電路設計原理圖
Fig.1 The Design Schematic Diagram of Laser Power Supply Circuit
FPGA通過編程控制進行SPI配置,配置數據0X00時,由于數字可變電阻U2存(cun)在(zai)60Ω游標接觸電(dian)阻(zu),則電(dian)源輸出電(dian)壓約為1.253V。
當配置數據為0XFF時,U2阻值滿(man)量程(cheng)但實際比(bi)標(biao)稱電阻小1LSB,即100kΩ-0.39kΩ=99.61kΩ,此時輸出最(zui)大電壓(ya)約(yue)為5.40V。
因此該電(dian)路(lu),通過(guo)理論計(ji)算滿足激光發(fa)生器對(dui)供電(dian)電(dian)壓(ya)范圍(1.26~5)V可調的要求;而數字(zi)可變(bian)電(dian)阻(zu)AD5160阻(zu)值(zhi)的變(bian)化以及其變(bian)化時(shi)間(jian)可利用FPGA通過(guo)SPI接口設(she)置對(dui)其進行延時(shi)控制,從而控制電(dian)源(yuan)電(dian)壓(ya)上升(sheng)時(shi)間(jian)及下降時(shi)間(jian)。
系統中FPGA工作時鐘為50MHz,用Verilog硬件描述語言軟件編程設計,通過pll鎖相環倍頻,由分頻模塊輸出控制配置AD5160芯片電阻值參數[9]。
提出(chu)FPGA主控(kong)器(qi)與AD5160數字可(ke)調電阻(zu)器(qi)的SPI通訊。芯片 AD5160 有八個引腳,分別是 VDD、GND、CLK、SDI、CS、W、A、B,其工作時序,工作原理,如(ru)圖(tu)2所示。
主控制器FPGA發(fa)送(song)時鐘信號發(fa)送(song)到AD5160的(de)CLK引腳,VDD供給+5V電(dian)(dian)源情(qing)況下,AD5160開始(shi)工作。當(dang)它的(de)CS接收到FPGA發(fa)出低電(dian)(dian)平(ping)的(de)下降沿,AD5160芯片通過SDI數(shu)(shu)據(ju)線采樣并進(jin)行電(dian)(dian)阻值(zhi)匹配。該數(shu)(shu)字信號上(shang)的(de)8位(wei)數(shu)(shu)據(ju)高位(wei)在前(MSB),低位(wei)在后。當(dang)AD5160的(de)CS變高電(dian)(dian)平(ping),其電(dian)(dian)阻值(zhi)保持。

圖2 AD5160的SPI工作時序圖
Fig.2 The SPI Configuration Sequence Diagram of AD5160
由圖2可知,AD5160電(dian)阻(zu)器的數據發(fa)送的時鐘(zhong)周(zhou)期是8幀,而CS可由FPGA中斷拉(la)高(gao),SDI數據線(xian)處于高(gao)阻(zu)三態,再重(zhong)新(xin)開始(shi)電(dian)阻(zu)匹(pi)配(pei)(pei),等待下一個(ge)CS變為低有效的配(pei)(pei)置(zhi)周(zhou)期開始(shi)。因此,FPGA控(kong)制AD5160電(dian)阻(zu)器的一個(ge)數據配(pei)(pei)置(zhi)周(zhou)期為8幀時鐘(zhong)周(zhou)期加上CS為高(gao)中斷時間tq(1個(ge)時鐘(zhong)周(zhou)期),即每個(ge)8位的數據采樣(yang)周(zhou)期為9(8+1)個(ge)時鐘(zhong)。主控(kong)制器FPGA的工作時鐘(zhong)頻率為25M,則AD5160電(dian)阻(zu)器實際(ji)配(pei)(pei)置(zhi)頻率為25M/9=2.78MSPS。
當儀器需要激光電路工作時,用FPGA控制器通過SPI設置U2的數據值為0XE6,此時U2的阻值約為90K,激光電源電路輸出電壓Vout的值為5V,電壓以微秒級瞬間上升至5V;當激光源工作結束時,FPGA控制器通過SPI設置U2的數據值從0XE6遞減(jian)至0X00,遞減(jian)步長(chang)為0X01,間(jian)(jian)隔時間(jian)(jian)為116ms,總時間(jian)(jian)為26.68s。
這種數字可(ke)(ke)調(diao)激光(guang)電(dian)源電(dian)路,通過穩壓芯(xin)片LM2596電(dian)源電(dian)壓轉(zhuan)換的(de)特性(xing)以及對數字可(ke)(ke)調(diao)變阻(zu)器AD5160的(de)精確調(diao)節,從而(er)實現了(le)電(dian)源電(dian)路(1.26~5)V電(dian)壓和電(dian)壓變化的(de)精確調(diao)節,滿足了(le)激光(guang)源對供(gong)電(dian)電(dian)源的(de)特殊要求(qiu)。
在QuartusII開發環境中,創建signaltap邏輯分析儀文件,對配置AD5160芯片參數在線仿真,其中SMARTEN寄存器配置0XA0004數值波形圖[10],如圖3所示。
通(tong)過軟件編程SPI接口的(de)(de)數字可調配(pei)置電(dian)阻值(zhi)(zhi)(zhi)模塊,FPGA輸出25MHz的(de)(de)時鐘信號控制模塊。圖3是邏輯分析儀SignalTap對FPGA實現(xian)SPI配(pei)置電(dian)阻值(zhi)(zhi)(zhi)的(de)(de)調試圖,cs_5160是片(pian)選信號,sck_5160是配(pei)置時鐘,sdo_5160是串行數據(ju),rdata[0..15]是FPGA對數字可調電(dian)阻AD5160配(pei)置的(de)(de)數值(zhi)(zhi)(zhi),以(yi)十進制數表示(shi)。

圖3 FPGA配置數字可調電阻值圖
Fig.3 The Diagram of Configuring Digital Adjustable Resistor Value by FPGA
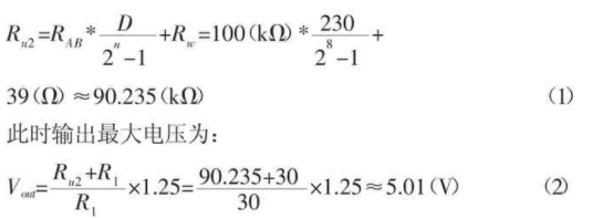
其中rdata[0..15]數值為十進制數230,則U2阻值可計算得:

由此可(ke)知,實(shi)測激光電(dian)(dian)(dian)源(yuan)(yuan)電(dian)(dian)(dian)壓(ya)(ya)為(wei)(5.012±0.04)V波(bo)動范圍內。電(dian)(dian)(dian)源(yuan)(yuan)驅動電(dian)(dian)(dian)路中,AD5160配(pei)置(zhi)時鐘(zhong)為(wei)25MHz,且充分利用FPGA可(ke)編(bian)程優(you)勢,可(ke)微調(diao)實(shi)現激光電(dian)(dian)(dian)源(yuan)(yuan)電(dian)(dian)(dian)壓(ya)(ya)的調(diao)試以改善甚至解決(jue)光源(yuan)(yuan)不一致問題,其電(dian)(dian)(dian)源(yuan)(yuan)驅動系統(tong)精(jing)度(du)、速度(du)、準確性(xing)均滿足設計要(yao)求(qiu)。
完成系統電子線路設計后,加載FPGA固化程序,在驅動電路板上運行,FPGA完成對數字可調電阻AD5160的阻值配置,其中配置“230”十進制數值(二進制數值為11100110)實際波形如圖4所示。配置“93”十進制數值后的電壓上電、斷電波形,從上向下分別是AD5160芯片的選通信號CSN、配置時鐘SCK和輸入數據SDO,其理論值與實測值4.4V偏差僅約(-0.0054)V,上升時間約4ms,下降時間約為26.8s[12],如圖5、圖6所示。

圖4 AD5160芯片阻值配置波形圖
Fig.4 The Waveform Figure of Configuring AD5160 Resistor Value

圖5 激光電源上電后上升沿波形圖
Fig.5 The Waveform Figure of Voltage Rising after Laser Power Up

圖6 激光電源斷電下降沿波形圖
Fig.6 The Waveform Figure of Voltage Dropping after Laser Power Off
實(shi)(shi)(shi)驗結(jie)(jie)果表明,數字(zi)(zi)可調激光(guang)電(dian)(dian)(dian)(dian)源(yuan)(yuan)供電(dian)(dian)(dian)(dian)時,上(shang)升(sheng)時間僅(jin)小(xiao)于(yu)5ms,FPGA控(kong)制電(dian)(dian)(dian)(dian)阻值穩(wen)定,電(dian)(dian)(dian)(dian)源(yuan)(yuan)模塊穩(wen)壓(ya)波形平滑,幾乎無(wu)毛刺,實(shi)(shi)(shi)測(ce)紋波小(xiao)于(yu)50mV,激光(guang)電(dian)(dian)(dian)(dian)源(yuan)(yuan)斷電(dian)(dian)(dian)(dian)時,電(dian)(dian)(dian)(dian)壓(ya)緩慢平滑下降且可調,誤差完全符合(he)設計要求。目(mu)前(qian),該數字(zi)(zi)可調激光(guang)驅動(dong)電(dian)(dian)(dian)(dian)源(yuan)(yuan)控(kong)制系統已(yi)成功應用到五(wu)分(fen)類血液分(fen)析儀,實(shi)(shi)(shi)際運行結(jie)(jie)果與(yu)實(shi)(shi)(shi)驗結(jie)(jie)果完全一致,通過改變激光(guang)驅動(dong)電(dian)(dian)(dian)(dian)源(yuan)(yuan)的設計,與(yu)其它(ta)激光(guang)驅動(dong)電(dian)(dian)(dian)(dian)源(yuan)(yuan)相比(bi),有效的提高了(le)激光(guang)系統產生光(guang)源(yuan)(yuan)的可靠性(xing)和穩(wen)定性(xing)。
設計一(yi)種基于FPGA的(de)(de)數字(zi)實(shi)時(shi)(shi)可調(diao)(diao)激(ji)光(guang)系(xi)統(tong)。系(xi)統(tong)創新的(de)(de)通過FPGA自由編程的(de)(de)特點來(lai)完成激(ji)光(guang)電源幅值、上升和(he)下降(jiang)時(shi)(shi)間(jian)的(de)(de)控(kong)制(zhi),對(dui)激(ji)光(guang)光(guang)源的(de)(de)可靠(kao)性和(he)穩定性有明顯(xian)的(de)(de)提高(gao)。該數字(zi)可調(diao)(diao)激(ji)光(guang)驅動電源控(kong)制(zhi)系(xi)統(tong)已成功應用到五分類(lei)血液(ye)分析儀,實(shi)際(ji)應用中(zhong)取得了良好的(de)(de)效果。